It was obtained earlier that
and Pt have to satisfy the equation
![]()
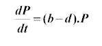
This immediately leads to the differential equation

or

In both cases we can think of the quantity b - d = k as being the net growth rate of the population (assuming that more fish are born than die!) and our equations become
Thus in the present case ooe has to solve the differential equations

which presents the Differential Model